Introduction to Graphs

Graphs

Introduction Terminology

Graph

Directed graph (digraph)

Weighted graph

Some Notation

Paths and Connectivity Cycles Degree

Self-check:

  1. How do directed and undirected graphs differ?
  2. What is a path in a graph? What is a cycle in a graph?
  3. What is a simple cycle?
  4. What is the in-degree and out-degree of a vertex in a directed graph?

Representing Graphs

Trees vs. Graphs

Adjacency Matrix


Adjacency Lists


Self-check

  1. Draw the adjacency matrix and adjacency list for the following digraph:
    
    
  2. Write C/C++ code to represent the adjacency matrix and list.

  3. Implement functions that:

  4. The number of nodes in an adjacency list is ___________________ on the number of edges in the graph.
  5. Determining if two nodes are adjacent using a matrix is ___________________ in the worst case.
  6. With an adjacency list, sparse graphs have ___________________ lists.

Graph Traversals

Traversing a graph is a form of searching.

An algorithm for traversing a graph (assumes that vertices have a boolean visited field):

GraphSearch (G is the graph to search, v is the starting vertex)
  Put v into container C.
  While container C is not empty
    Remove a vertex, x, from container C
    If x has not been visited
      Visit x
      Set x.visited to TRUE
      For each vertex, w, adjacent to x
        If w has not been visited
          Put w into container C
        End If
      End For
    End If
  End While
End GraphSearch

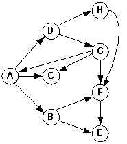
Given this graph, determine the sequence of nodes that are visited from different starting nodes.

Adjacency matrix:
   A  B  C  D  E  F  G  H
A  0  1  1  1  0  0  0  0
B  0  0  0  0  1  1  0  0
C  0  0  0  0  0  0  0  0
D  0  0  0  0  0  0  1  1
E  0  0  0  0  0  0  0  0
F  0  0  0  0  1  0  0  0
G  1  0  1  0  0  1  0  0
H  0  0  0  0  0  1  0  0

Example 1: Starting at A Example 2: Starting at G

A weighted graph:

Adjacency matrix:
   A  B  C  D  E  F  G  H
A  0  3  9  7  0  0  0  0
B  0  0  0  0  6  5  0  0
C  0  0  0  0  0  0  0  0
D  0  0  0  0  0  0  4  2
E  0  0  0  0  0  0  0  0
F  0  0  0  0  8  0  0  0
G  5  0  1  0  0  4  0  0
H  0  0  0  0  0  8  0  0
Example 3: Starting at A and sorting the adjacency set (maybe with a priority queue): Make sure you understand how the sequences above were arrived at.

Self-check What is the visited order starting at G using a queue? Using a stack? What is the visited order starting at H using a queue? Using a stack?

Notes:

Self-check
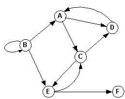
   1. Given the graph below, what is the in-degree and out-degree of each node?
   2. Starting at node A and using a depth-first search, in what order will the nodes be visited? If a node has more than one neighbor, choose the edge with the larger value.
   3. What is the order if you performed a breadth-first traversal instead?
   4. What is the order if you choose the smaller edge for both depth-first and breadth-first traversals?
   5. Is the graph strongly connected?

A Simple Implementation

The graph representation:

const int SIZE = 8;
typedef bool Graph[SIZE][SIZE];

Graph G = { // Adjacency matrix           Adjacency list   
            {0, 1, 1, 1, 0, 0, 0, 0},  // A-->B-->C-->D
            {0, 0, 0, 0, 1, 1, 0, 0},  // B-->E-->F
            {0, 0, 0, 0, 0, 0, 0, 0},  // C
            {0, 0, 0, 0, 0, 0, 1, 1},  // D-->G-->H
            {0, 0, 0, 0, 0, 0, 0, 0},  // E 
            {0, 0, 0, 0, 1, 0, 0, 0},  // F-->E
            {1, 0, 1, 0, 0, 1, 0, 0},  // G-->A-->C-->F
            {0, 0, 0, 0, 0, 1, 0, 0}   // H-->F
          };

struct Vertex
{
  char label;      // For displaying
  bool visited;    // Visited flag
  bool *neighbors; // Adjacency "list"
};

Vertex Vertices[SIZE] = {
                          {'A', false, G[0]},
                          {'B', false, G[1]},
                          {'C', false, G[2]},
                          {'D', false, G[3]},
                          {'E', false, G[4]},
                          {'F', false, G[5]},
                          {'G', false, G[6]},
                          {'H', false, G[7]}
                        };

With actual bool values:

Graph G = { // Adjacency matrix                                       Adjacency list   
            {false,  true,  true,  true, false, false, false, false},  // A-->B-->C-->D
            {false, false, false, false,  true,  true, false, false},  // B-->E-->F
            {false, false, false, false, false, false, false, false},  // C
            {false, false, false, false, false, false,  true,  true},  // D-->G-->H
            {false, false, false, false, false, false, false, false},  // E 
            {false, false, false, false,  true, false, false, false},  // F-->E
            { true, false,  true, false, false,  true, false, false},  // G-->A-->C-->F
            {false, false, false, false, false,  true, false, false}   // H-->F
          };
Visit operation and search algorithm:
void Visit(Vertex &v)
{
  cout << v.label << " ";
}

void GraphSearchStack1(Vertex *v, Vertex Vertices[])
{
  stack<Vertex *> C;

  C.push(v);                          // Put v into container C.  
  while (!C.empty())                  // While (container C is not empty)
  {
    Vertex *x = C.top();              // Remove a vertex, x, from container C
    C.pop();
    if (!x->visited)                  // If (x has not been visited)
    {
      Visit(*x);                      // Visit x
      x->visited = true;              // Set x.visited to TRUE
      for (int i = 0; i < SIZE; i++)  // For each vertex, w, 
      {
        if ((x->neighbors[i]) &&      //  (adjacent to x) and
            (!Vertices[i].visited))   //  (has not been visited)
          C.push(&Vertices[i]);       // Put w into container C
      }
    }
  }
}

void main()
{
  GraphSearchStack1(&Vertices[0], Vertices);
}
Changing the for loop causes the alternative orderings:
for (int i = SIZE - 1; i >= 0; i--)
Using a queue instead of a stack: (slightly modified)
void GraphSearchQueue1(Graph G, Vertex *v, Vertex *vertices)
{
  int size = sizeof(G[0]);
  queue<Vertex *> C;        // uses a queue
  C.push(v);
  while (!C.empty())
  {
    Vertex *x = C.front();  // front() instead of top()
    C.pop();
    if (!x->visited)
    {
      Visit(*x);
      x->visited = true;
      for (int i = 0; i < size; i++)
      {
        if ((x->neighbors[i]) &&
            (!vertices[i].visited))
          C.push(&vertices[i]);
      }
    }
  }
}

Self-check

  1. Implement code to traverse the graph exhaustively.

Spanning Trees

Suppose we have an undirected graph with many edges connecting the vertices. In other words, there are many paths from a given vertice to any other vertice. Also suppose that we just want the set of edges that connects all of the vertices in the cheapest way.

Given a connected, undirected graph G = (V, E), a tree that uses the edges, E, from G, and contains all of the vertices, V, is called a spanning tree for G.

There are two well-known algorithms for finding minimum spanning trees from a graph: Prim's algorithm and Kruskal's algorithm.

Examples:

Original graphEmbedded treeTree



Prim's algorithm using a tree:

  1. Choose any vertex in the graph
  2. Add it to an empty tree
  3. Until all nodes are in the tree
Examples:

Starting at node A, the nodes will be added to the tree in this order:

A B G H F D C E
Starting at node H, the nodes will be added to the tree in this order:
H F D C E B A G
Video review of Prim's algorithm.

The implementation is left as an exercise for the student.


Kruskal's algorithm using a forest:
  1. Construct a forest from the N nodes in the graph
  2. Put the (sorted) edges in a queue
  3. Until there are N - 1 edges in the forest (a single tree)
    • Extract the "cheapest" edge from the queue
    • If it will form a cycle, discard it
    • Otherwise, add to the forest (always joins two trees)
Priority queue
Edge  Weight
----  ------
 C-D     3
 H-F     4
 H-D     5
 D-E     6
 A-B    10
 A-G    12
 B-H    14
 G-F    15
 F-E    17
 A-F    18
 B-C    22

The edges will be added in this order:

C-D  H-F  H-D  D-E  A-B  A-G  B-H
Changing a few weights: A-B(10 to 13), G-F(15 to 7) , D-E(6 to 20)
New graphPriority queueGraph with cycleEmbedded tree
Edge  Weight
----  ------
 C-D     3
 H-F     4
 H-D     5
 G-F     7
 A-G    12
 A-B    13
 B-H    14
 F-E    17
 A-F    18
 D-E    20
 B-C    22

The embedded tree:

Tree aloneAnother viewAnother view

Video review of Kruskal's algorithm.

Elephant in the room: There is something that could make the implementation (as described above) of Kruskal's algorithm inefficient. (Union-Find algorithms).

The implementation is left as an exercise for the student.

More Spanning tree info

A Shortest Path Algorithm

Example graph and adjacency matrix:

GraphAdjacency matrixPaths

123456
1035
20710
3051
406
507
6820

   Nodes      Cost
------------------
1 2 3 4 5      21
1 2 3 5        11
1 2 6 3 5      22
1 2 6 3 4 5    32
1 2 6 4 5      21
1 6 3 5        14
1 6 3 4 5      24
1 6 4 5        13

There are many paths from 1 to 5. How do we find the cheapest path?



Dijkstra's Algorithm

Given a source node, we can find the shortest distance to every other node in a graph.

Undirected Weighted GraphPaths and Costs From A

To    Path          Cost
------------------------
A      A              0
B      A-B           13
C      A-B-D-C       30
D      A-B-D         25
E      A-B-D-C-E     34
F      A-F           11

Pseudocode for Dijkstra's algorithm:
Choose a node to be the source or starting point.
Initialize source to 0 cost and mark as evaluated.
Initialize all nodes to infinite cost from the source.

For each node, y, adjacent to source
  1. Relax the node. That is, set y's cost to the cost of all edges from source to y.
  2. Place y into a priority queue based on its total cost. (Lower is better)
  3. Add source node as predecessor of y.
End For

While there are nodes in the graph that haven't been evaluated
  Remove a node, x, from the PQ (lowest total cost)
  If the node has already been evaluated
    Discard the node
    Go to top of while 
  Else
    Mark x as evaluated.
    For each neighbor, y, of x
      Relax y
      If new cost to reach y is less
        Update list of nodes (path) to y from source.
        Place y in the PQ.
      End If
    End For
  End If
End While
Final results from data above.

Video review of Dijkstra's algorithm.

Notes:

Dijkstra's algorithm